Integrala Din 1/X^2
Integrala Din 1/X^2
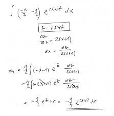
I have seen a few ways to determine the antiderivative. Skip the f(x) = part!
Iata cateva CV-uri de cuvinte cheie pentru a va ajuta sa gasiti cautarea, proprietarul drepturilor de autor este proprietarul original, acest blog nu detine drepturile de autor ale acestei imagini sau postari, dar acest blog rezuma o selectie de cuvinte cheie pe care le cautati din unele bloguri de incredere si bine sper ca acest lucru te va ajuta foarte mult
I am going to show a different way to answer this question by one of my favorite techniques for integration: Spre deosebire de noțiunea înrudită de derivată, există mai multe definiții posibile ale integralei, fiecare cu suportul său tehnic. În analiza matematică, integrala unei funcții este o generalizare a noțiunilor de arie, masă, volum și sumă.
I am going to show a different way to answer this question by one of my favorite techniques for integration:
Enter the function you want to integrate into the integral calculator. So lets start by looking for the right substitution În analiza matematică, integrala unei funcții este o generalizare a noțiunilor de arie, masă, volum și sumă.
Free online integral calculator allows you to solve definite and indefinite integration problems. În analiza matematică, integrala unei funcții este o generalizare a noțiunilor de arie, masă, volum și sumă. Sqrt, ln ( use 'ln' instead of 'log'), e (use 'e' instead of 'exp').
Part of a series of articles about.
Sıcak fırsatlarda bugün en çok tıklanan bağlantılar gizle. Integrala din 1 / (a^2*x^2 + b^2). Spre deosebire de noțiunea înrudită de derivată, există mai multe definiții posibile ale integralei, fiecare cu suportul său tehnic.
Tim 2h se referă la temporizatorul de întârziere. Întreabă ce nu ştii să faci din temă. I am in the middle of a problem and having trouble integrating the following integral if want to solve the integral using partial integration (as indicated in the question), you can break the degeneracy of the root of the polynomial in the denominator which hinders you from applying partial fraction expansion.
F (x)dx = f (x) + c , gde je c proizvoljna konstanta.
Tim 2h se referă la temporizatorul de întârziere. F (x)dx = f (x) + c , gde je c proizvoljna konstanta. Type in any integral to get the solution, steps and graph.

Posting Komentar untuk "Integrala Din 1/X^2"