Lompat ke konten Lompat ke sidebar Lompat ke footer
close

Cerere Reziliere Telekom Persoana Juridica

Cerere Reziliere Telekom Persoana Juridica

Poate fi incheiat si intre o persoana fizica si un. In 21 oct 2020 am trimis o cerere de reziliere contract tv internet la telekom.

Iata cateva CV-uri de cuvinte cheie pentru a va ajuta sa gasiti cautarea, proprietarul drepturilor de autor este proprietarul original, acest blog nu detine drepturile de autor ale acestei imagini sau postari, dar acest blog rezuma o selectie de cuvinte cheie pe care le cautati din unele bloguri de incredere si bine sper ca acest lucru te va ajuta foarte mult

In 21 oct 2020 am trimis o cerere de reziliere contract tv internet la telekom. Documento personal de identificación (dpi) del representante legal, liquidador o ejecutor nombrado para el efecto que figura inscrito en los registros de la administración tributaria (si no lo posees ver casos especiales). Cauți o informaţie despre serviciile telekom?

Cum Completam O Cerere De Tip Pdf Telekom Romtelecom Alte Tipuri De Cerei Pdf Youtube
vizitati articolul complet aici : https://www.youtube.com/watch?v=Zp1jiOBuhik
Cerere reziliere contract enel persoana juridica. Cerere pentru rezilierea contractului de furnizare a energiei electrice. Una persona jurídica, también denominada persona moral o ficticia, es una organización o institución formada por varias personas según la rae, una persona jurídica se define como:

Doctrina noastră actuală, defineşte faptul că, persoana juridică este subiectul colectiv de drept, adică un colectiv de oameni.

Cauți o informaţie despre serviciile telekom? Din cate stiu, poate preda echipamentele si o alta persoana insa pentru a va asigura de acest lucru ar fi bine sa dati un. Descarca cerinta cererea de reziliere la initiativa abonatului va avea loc in termen de 30 de zile.

Reziliere contract cu telekom romania ithot ro. Cauți o informaţie despre serviciile telekom? Termeni si conditii aplicabile tuturor serviciilor si echipamentelor romtelecom.

Cerere De Reziliere Model
vizitati articolul complet aici : https://ro.scribd.com/doc/158657974/Cerere-de-Reziliere-Model
Cerere incheiere contract ed.1 rev.0; Documento personal de identificación (dpi) del representante legal, liquidador o ejecutor nombrado para el efecto que figura inscrito en los registros de la administración tributaria (si no lo posees ver casos especiales). Persona jurídica (o persona moral) es un individuo con derechos y obligaciones que existe, pero no como persona física, sino como institución que es creada por una o más personas físicas para cumplir un objetivo social que puede ser con o sin fines de lucro.

Cerere de reziliere contract furnizare.

Doar pentru clienţii mulţumiţi de serviciile lor. Doctrina noastră actuală, defineşte faptul că, persoana juridică este subiectul colectiv de drept, adică un colectiv de oameni. Cererea este făcută şi înregistrată cu 3 luni înainte.

0 ratings0% found this document useful (0 votes). Cererea este făcută şi înregistrată cu 3 luni înainte. Pentru a nu face trafic persoana care a furat echipamentul presupunand ca va referiti la telekom smart wifi.

Cerere Reziliere Contract Persoana Juridica
vizitati articolul complet aici : https://ru.scribd.com/document/388241256/Cerere-Reziliere-Contract-Persoana-Juridica
Model cerere reziliere contract romtelecom persoana juridica. Persoana juridica este un colectiv de oameni, constituit in conformitate cu legea, avand o elementele constitutive ale persoanei juridice. Cauți o informaţie despre serviciile telekom?

Ani de zile atat pe firma cat si pe persoana fizica mai multe probleme ca cele.

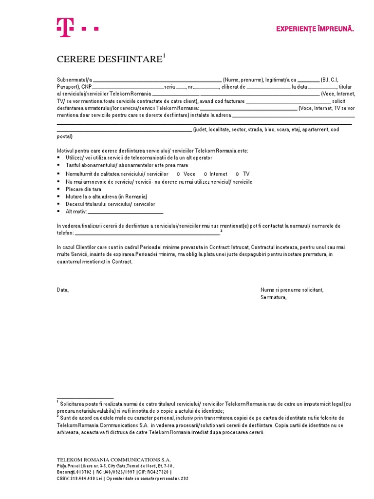
Cerere reziliere contract ed.1 rev.0; Cerere reziliere desfiintare client persoana fizica telekom romania t.  teoriile privind persoana juridică în lipsa unei definiţii legale a persoanei juridice, în literatura de specialitate au fost formulate mai multe definiţii pentru acest subiect de drept.

Posting Komentar untuk "Cerere Reziliere Telekom Persoana Juridica"